-
(4,8-雙(5-(2-乙基己基)-4-氟噻吩基)苯并[1,2-b:4,5-b']二噻吩基)雙(三甲基錫基)|1514905-25-9
CAS編號:1514905-25-9分子式:C40H56F2S4Sn2 -
-
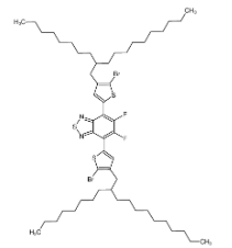
4,7-雙(5-溴-4-(2-辛基十二烷基)噻吩-2-基)-5,6-二氟苯并[c][1,2,5]噻二唑|1504626-07-6
CAS編號:1504626-07-6分子式:C54H84Br2F2N2S3 -
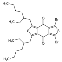
4,7-雙(5-溴噻吩-2-基)-2-(2-乙基己基)-5,6-二氟-2H-苯并[d][1,2,3] 三唑|1476807-53-0
CAS編號:1476807-53-0分子式:C22H21Br2F2N3S2 -
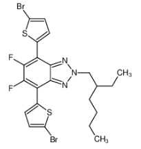
4,7-雙(5-溴噻吩-2-基)-5,6-二氟-2-(2-辛基十二烷基)-2H-苯并[d][1,2,3]三氮唑|1450590-67-6
CAS編號:1450590-67-6分子式:C34H45Br2F2N3S2 -
-
-
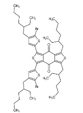
1,3-雙[(5-溴-4-(2-乙基己基)噻吩-2-基]-5,7--雙(2-乙基己基)苯并[1,2-C:4,5-C']二噻吩-4,8-二酮|1439937-07-1
CAS編號:1439937-07-1分子式:C50H70Br2O2S4 -
-
-
-
-
-
4,8-二(5-溴-4-(2-辛基十二烷基)噻吩-2-基)-1H,3H-苯并[1,2-c:4,5-c']二[1,2,5]噻二唑|1374601-35-0
CAS編號:1374601-35-0分子式:C54H84Br2N4S4 -
-
-
-
2,5-二氫-2,5-雙(2-辛基十二基)-3,6-雙[5-(4,4,5,5-四甲基-1,3,2-二噁硼烷-2-基)-噻吩-2-基]吡咯并[3,4-c]吡咯-1,4-二酮|1351986-34-9
CAS編號:1351986-34-9分子式:C66H110B2N2O6S2 -
-
-
-
-
-
-
-
-