-
-
-
2,7-雙(三甲基錫基)-5,10-雙(2-丁基辛基噻吩基) 苯并[1,2-B:4,5-B']二(噻吩并[3,2-B]噻吩) | 2582829-56-7
CAS編號:2582829-56-7分子式:C52H74S6Sn2 -
-
-
2,7-雙(三甲基錫)-5,10-雙[4-氯-5-(2-丁基辛基)-2-噻吩基]二噻吩并[2,3-D:2',3'-D']苯并[1,2-B:4,5-B']二噻吩 | 2487415-02-9
CAS編號:2487415-02-9分子式:C52H72Cl2S6Sn2 -
-
-
-
-
3,6-二(5-溴噻吩-2-基)-2,5-二(2-(2-(2-甲氧基乙氧基)乙氧基)乙基)吡咯并[3,4-C]吡咯-1,4(2H,5H)-二酮 |
CAS編號:1296131-05-9分子式:C28H34Br2N2O8S2 -
-
-
-
4,9-二溴-2,7-二(2,5,8,11,14,17,20-七氧雜二十二烷-22-基)苯并[LMN][3,8]菲咯啉-1,3,6,8(2H,7H)-四酮 | 2225708-89-2
CAS編號:2225708-89-2分子式:C44H64Br2N2O18 -
-
(5,5'-(4,8-二((2-乙基己基)氧)苯并[1,2-b:4,5-b']二噻吩-2,6-二基)二(噻吩-5,2-二基)雙三甲基錫 | 3034848-04-6
CAS編號:3034848-04-6分子式:C40H58O2S4Sn2 -
-
-
-
-
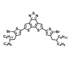
5,8-雙(5-溴-4-(2-丁基辛基)噻吩基)二噻吩并[3',2':3,4;2'',3'':5,6]苯并[1,2-c][1,2,5]噻二唑 | 2433725-51-8
CAS編號:2433725-51-8分子式:C42H54Br2N2S5 -
二-叔丁基 2,2'-(1,4-二氧-3,6-二(噻吩-2-基)吡咯并[3,4-C]吡咯-2,5(1H,4H)-二基)二醋酸酯 | 1669409-50-0
CAS編號:1669409-50-0分子式:C26H28N2O6S2 -
12,13-二氫-12,13-雙(2-辛基十二烷基)-3,9-雙十一烷基二噻吩并[2′′,3′′:4′,5′]噻吩并[2′,3′:4,5]吡咯并[3,2-e:2′,3′-g][2,1,3]苯并噻二唑-
CAS編號:2599837-57-5分子式:C82H130N4O2S5 -
-
-