-
-
1,3-雙(2-乙基己基)-5,7-雙(5-(三甲基錫基)噻吩基)苯并[1,2-C:4,5-C']二噻吩-4,8-二酮 | 2111948-40-2
CAS編號:2111948-40-2分子式:C40H56O2S4Sn2 -
5,6-二氟-2-(2-己基癸基)-4,7-雙(5-(三甲基錫基)噻吩基)-2H-苯并[d][1,2,3]三唑 | 2365391-00-8
CAS編號:2365391-00-8分子式:C36H55F2N3S2Sn2 -
-
-
2,7-二辛基-1,3,6,8-四氧-1,2,3,6,7,8-六氫苯并[LMN][3,8]鄰二氮雜菲-4,9-二腈 | 942130-56-5
CAS編號:942130-56-5分子式:C32H36N4O4 -
6,6,12,12-四(4-己基苯基)-6,12-二氫二噻吩[2,3-D:2',3'-D']-S-茚并[1,2-B:5,6-B']二噻吩-2,8-二溴 | 2227361-27-3
CAS編號:2227361-27-3分子式:C68H72Br2S4 -
-
2,7-雙(三甲基錫基)-5,10-雙(2-乙基己基噻吩基) 苯并[1,2-b:4,5-b']二(噻吩并[3,2-b]噻吩) | 1446476-81-8
CAS編號:1446476-81-8分子式:C44H58S6Sn2 -
-
-
-
(4,8-雙(4-氟-5-己基噻吩基)苯并[1,2-B:4,5-B']二噻吩-2,6-二基)雙(三甲基錫) | 2376651-34-0
CAS編號:2376651-34-0分子式:C36H48F2S4Sn2 -
-
-
-
-
-
4,9-二溴-6,7-雙(4-((2-癸基十四烷基)氧)苯基)-[1,2,5]噻二唑并[3,4-G]喹喔啉 | 2922090-57-9
CAS編號:2922090-57-9分子式:C68H106Br2N4O2S -
-
-
-
-
-
2,7-二乙炔基-4,4,9,9-四己基-4,9-二氫-S-引達(dá)省并[1,2-B:5,6-B']二噻吩 | 2383018-88-8
CAS編號:2383018-88-8分子式:C44H58S2 -
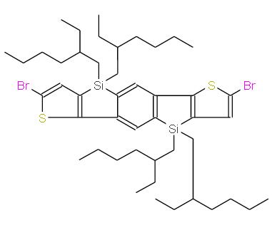
2,7-二溴-苯并[1,2-b:4,5-b]雙(4,4'-二乙基己基-4H-硅并[3,2-b]噻吩) | 1217503-11-1
CAS編號:1217503-11-1分子式:C46H72Br2S2Si2 -